31

Free style skiers are able to rotate several times about longitudinal and transversal axes during a single jump. How is it possible that during a single jump they are able to rotate their body with skis on their feet, to speed up that rotation or slow it down, and to rotate very slowly shortly before their landing? How are gymnasts, figure skaters and other athletes able to increase and decrease the speed of their rotation without being in contact with the ground? Why do athletes use rotating technique in hammer throw? In the following chapter we will try to present a theoretical basis for answering such questions.
An object's resistance to changes to its rotation is called the inertia of a rotating body. In bodies with more rotational inertia it takes more energy to increase or decrease their angular velocity or to change the position of their axis of rotation. A heavier bicycle wheel will resist motion at the start and, on the other hand, will be difficult to stop in finish compared to a lighter wheel. Only people with outstanding sense of balance are able to stay motionless on a bicycle, while practically anybody can keep balance on a moving bicycle. Behind all these phenomena there is inertia. Heavier wheel has more inertia because its mass is bigger. Moreover, while rotating the wheel resists any changes to the position of its axis of rotation – that’s why it is so much easier to keep balance on a moving bicycle.
The measure of inertia results not only from the mass of the body but also from the way its mass is distributed in relation to the axis of rotation. A stroke with a longer golf club is more difficult than a stroke with a shorter club.
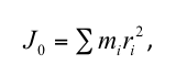
Moment of inertia is a measure of an object's resistance to changes to its rotation:
where J0 (kg⋅m2) is moment of inertia in relation to the axis going through the centre of gravity, Σ is a symbol of sum, mi (kg) is the mass of the ith element of the body (e.g. segment of a human body), and ri(m) is the distance of the ith element of the body from the axis of rotation that goes through the centre of gravity.
Each segment of a human body resists changes of rotary motion. Measure of such resistance is product of the mass of a segment and the square of its distance from the axis of rotation, i.e. moment of inertia.
While inertia of bodies in linear motion only depends on one quantity (mass), inertia of rotating bodies depends on two quantities (mass and the distance of the element from the axis of rotation – characteristic of the distribution of mass around the axis of rotation). These two quantities do not have the same influence on moment of inertia. The influence of mass on the inertia of rotating bodies is much smaller than the influence of the distribution of mass. Increasing the mass twice will only increase moment of inertia twice, but increasing the radius of gyration64 twice will increase the moment of inertia of the given body four times. For example the length of a baseball bat has much larger influence on the time needed to strike a projectile (a ball), using identical technique, than the mass of the baseball bat.
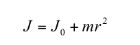
When using sporting equipment (bats, rackets, clubs, sticks, etc.) we produce force that rotates these pieces of equipment about an axe that does not go through their centre of gravity. Such moment of inertia can be calculated as:
where J (kg·m2) is moment of inertia in relation to the axis that is not going through the centre of gravity, J0 (kg·m2) is moment of inertia in relation to the axis going through the centre of gravity, m (kg) is the mass of the body (equipment), and r (m) is the distance between the axis of rotation and a parallel axis going through the centre of gravity of given body. This means that moment of inertia of a body in relation to an axis that is not going through the centre of gravity is always bigger than moment of inertia in relation to an axis that is going through the centre of gravity and is parallel to it.
When assessing qualitatively the resistance of a body to a change of rotation in sporting practice, the distance of the mass of the body from the axis of rotation is the most important factor influencing the inertia of the given rotating body.
Each body has infinitely many possible moments of inertia because it can rotate about infinitely many axes of rotation.
In physical education and sport we mostly use three major axes to evaluate motion: Anteroposterior (cartwheel in gymnastic is performed about anteroposterior axis), transversal (somersaults are performed about transversal axis), and longitudinal (pirouettes are performed about longitudinal axe).
Human body is not solid because individual segments of human body can move in relation to each other. For this reason the moment of inertia of human body in relation to one axis is a variable quantity. This means that we can intentionally change moment of inertia of our body so that it is advantageous for achieving better sporting performance or managing a given motor task. Figure skater can more than double his moment of inertia about longitudinal axis by abducting arms to the level of shoulders. Gymnast can decrease moment of inertia about transversal axis in somersault to a half if he curls up tightly enough (Fig. 23). Sprinter flexes his knees and hip joints when he is increasing angular velocity of his legs by which he reduces moment of inertia of his leg in relation to axis of rotation going through hip joints.
Figure 23 Gymnast performing a complicated vault with double forward somersault in squatting position in the second phase of his flight - Roche vault. Gymnast curls up during the somersault to intentionally decrease moment of inertia.
Gymnasts, figure skaters, athletes and many other sportsmen intentionally change their moment of inertia to perform motor skills with more efficiency.
Manufacturers of sport equipment also try to create products with such moment of inertia so as to facilitate more efficiency in performing motor skills. Downhillers use longer skis than slalom racers. Longer skis give skiers needed stability when moving with the velocity of approximately 100 km/h. Slalom racers need skis to change direction swiftly, i.e. skis with smaller moment of inertia about the axis of the skier’s rotation. Slalom racers therefore use shorter skis. Manufacturers of certain slalom skis even fill the tips of the skis with light material to decrease their moment of inertia.
From the previous chapters we know that for example longer hockey stick produces higher velocity of the blade if we are able to strike with the same angular velocity. The puck will fly with higher velocity. Why then hockey players don’t use hockey sticks two metres long? Unfortunately, if we make hockey stick longer, we also increase its moment of inertia which makes it much harder to increase the angular velocity of such hockey stick because more energy must be used, i.e. more work must be performed. Hockey stick must therefore have optimum length so that it can be used to strike with high velocity without having to overcome high inertia resistance. Influence of moment of inertia on velocity is present also in other equipment, such as golf clubs, tennis rackets, baseball bats, etc.
Angular momentum L (kg·m/s) is defined as product of the moment of inertia J (kg·m2) of a body about an axis and its angular velocity ω (rad/s) with respect to the same axis:
Unit of angular momentum is kg·m/s. Angular momentum is a vector quantity – it has magnitude and direction. The direction of the angular momentum is the same as the direction of angular velocity that defines it.
Angular momentum depends on two quantities, moment of inertia and angular velocity. For perfectly rigid bodies a change of moment of inertia depends on one variable quantity only – on angular velocity, because moment of inertia of rigid bodies does not change65. In bodies that are not perfectly rigid (human body) a change of angular momentum can be caused by both a change to angular velocity and a change to moment of inertia.
The sum of angular moments of individual segments of human body gives approximate value of angular momentum of the whole body66. For example in running right arm rotates forward while left arm rotates backward, and in the same manner legs rotate in opposite directions. Regarding the fact that angular momentum is a vector quantity and therefore the direction of rotation of the given segment about chosen transversal axis matters, angular momentum of the whole body in relation to transversal axis is zero67.
Angular momentum of a given body is constant unless non-zero resultant external moment of force starts acting on it.
For sport practice this means that it is impossible to start rotating human body already after take-off76. That is why coaches in gymnastics and acrobatics teach their charges to start rotating already at the moment of take-off. Newton’ first law does not state that angular velocity must stay the same when no external moment of force is acting. Therefore the angular velocity of the body can be changed after the take-off (during the jump), if we actively change the body’s angular momentum. Angular velocity of the body is then changed in such a way that the angular momentum after the take-off is always constant: L = Jω = constant. When for example a skier after a badly done jump over a mogul decides to uncurl, he thus increases the angular momentum of his body in relation to his axis of rotation and his angular velocity of rotation decreases so that his angular momentum stays the same as at the moment shortly after take-off. At the moment of landing the skier can be in such a position that he is able to continue his run and keep his balance without falling on his back. When rotating, human body can control the velocity of rotation by moving its body segments; concentrating the mass of the body nearer to the axis of rotation will increase the velocity of rotation, moving the mass of the body further from the axis of rotation will decrease the velocity of rotation, with the same angular momentum69.
Another very typical example of using intentional change of angular momentum in sport is the effect of changing the velocity of rotation by figure skaters when doing pirouettes. Friction between the ice and the skate is negligible and therefore the skater after take-off can rotate on one foot for quite a long time. If the skater raises his arms upwards, his angular momentum is smaller than when he stretches his arms sideways. Angular momentum is product of angular velocity and moment of inertia in relation to the axis of rotation. During a take-off the skater gains angular momentum which stays the same until another take-off70. A decrease in moment of inertia must therefore be accompanied by an increase in angular velocity. Figure skater therefore decreases angular velocity of his rotation by stretching his arms sideways or increases angular velocity of his rotation by holding his arms close to the body. For spectators it is very attractive to watch endless variations of pirouettes with changing velocity as a part of varied set of acrobatic elements.
Gymnasts, skiers, dancers, figure skaters, etc. control the velocity of rotation of their bodies by changing moment of inertia of their body in relation to the axis of rotation (curling – uncurling, abduction – adduction, etc.)
Change of angular momentum of a body is directly proportional to the resultant moment of force which is acting on this body and such change has the direction of the external moment of force.
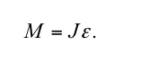
For perfectly rigid bodies with constant moment of inertia about the chosen axis of rotation we can describe relations between kinematic and kinetic quantities as follows:
If resultant external moment of force M (N·m) is acting on a body, the body gains angular acceleration ε (rad/s2) which has the direction of that moment of force. Angular acceleration will be directly proportional to moment of external force and inversely proportional to moment of inertia J (kg·m2) of the body in relation to the axis of rotation:
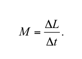
The above equation does not apply to bodies that are not perfectly rigid, such as human body. For human body the resultant external moment of force is equal to the rate with which angular momentum changes:
Resultant moment of external force acting on a body is directly proportional to the rate with which angular momentum changes.
Change of angular momentum can have the following consequences:
Angular acceleration of a body or a change of moment of inertia does not necessarily mean that an external moment of force is acting on the body, because the total angular momentum of a body that is not perfectly rigid can stay constant even if the body accelerates or if its moment of inertia changes
Angular impulse equals a change of angular momentum. The measure of such change of angular momentum depends on the duration of the moment of force and its magnitude. Longer moment arm produces greater moment of force, as we already mentioned. Increasing duration of the moment of force seems to be an easier way of increasing the angular momentum but in sport time is an important factor and in certain situations cannot be prolonged at will. However, in exceptional cases it is possible. Figure skater, for example, rotates about longitudinal axis by standing on the tip of one skate and pushing against the ice with the other skate. Pushing leg should be as far as possible from the longitudinal axis to create greatest possible moment of force. If the figure skater arranges his body in such a way that his moment of inertia in relation to longitudinal axis is as small as possible, he can have sufficient acceleration at take-off. At another take-off he already has high angular velocity and thus less time for pushing against the ice. The skater can therefore uncurl his body to increase moment of inertia shortly before take-off. Greater moment of inertia results in lower angular velocity about the longitudinal axis and thus in more time for take-off. The longer the skater is acting with force during take-off, the greater angular impulse is bestowed and the greater change of angular momentum will occur.
Similarly discus throwers assume a position with maximum moment of inertia at the beginning of the throw while at the end of the throw, at the moment of releasing the discus, their moment of inertia is much smaller. In activities where the goal is to rotate with maximum velocity athletes assume a position with maximum moment of inertia at the beginning to be able to act with moment of force for a longer time and maximize angular impulse and thus the change to angular momentum. As soon as a sufficient angular momentum is created, athletes assume a position with smaller moment of inertia and thus increase the velocity of rotation at the right moment, for example at the moment of releasing discus.
Moment of force by which the first body acts on the second body produces moment of force of equal magnitude by which the second body acts on the first body at the same time but with opposite direction. We must also not forget that these moments of force have the same axis of rotation. Effect of these moments of force is different because they act on different bodies. A good example of the use of Newton’ third law for rotary motion is the moment of force produced by quadriceps femoris (specifically vastus femoris) during extension of knee joint. When these muscles contract a moment of force is produced which rotates shin in one direction and at the same time another moment of force is produced, with equal magnitude but opposite direction, which rotates thigh. These two opposite rotations produce extension in knee joint.
Table 4 is useful for comparing kinetic quantities of linear motion and rotary motion. Here we can observe the sum of knowledge of linear motion and rotary motion kinetics, to compare their differences and to realize in what aspects these two types of motion are similar.
Table 4 Comparison of kinetic quantities of linear motion and rotary motion.
| Linear motion | ||
| Quantity | Symbol used and basic equation | SI unit |
| Mass | m | kg |
| Force | F | N |
| Momentum | p = mv | kg·m/s |
| Impulse of force | I = ΣFΔt | N·s |
| Rotary motion | ||
| Moment of inertia | J = Σmr2 | kg·m2 |
| Moment of roce | M = r x F | N·m |
| Angular momentum | L = Jω | kg·m2/s |
| Angular impulse | H = ΣMΔt | N·m·s |
64 Radius of gyration is a distance that states how far from the axis of rotation the complete mass of the body would have to be concentrated in order to produce equal resistance to changes of rotary motion as the given body in its original form, i.e. in order to have the same moment of inertia.Zpět
65 Assuming fixed position of axis of rotation in relation to the body.Zpět
66 The exact calculaiton of angular momentum of human body in relation to axis going through centre of gravity is as follows: L = Σ(Jiωi + mir2i/cgωi/cg), where i is a segment of human body and cg is centre of gravity.Zpět
67 In technically well performed run for longer distances trunk should not rotate or lean.Zpět
68 With the exception of situatons where human body starts to rotate under the influence of resistance of the environment (water, air). The cause of this so-called secondary rotation is Coriolis force, produced by a segment of a human body moving outside the relevant plane of body rotation.Zpět
69 Angular momentum stays the same if no resultant external moment of force is acting on the human body, produced by a contact of the human body with another body.Zpět
70 If friction is neglected.Zpět